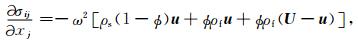
地球物理学报  2010, Vol. 53 Issue (10): 2452-2459   PDF    
基于BISQ机制三维双相正交裂隙各向异性介质衰减及频散方位特性研究
张显文1,2 , 王德利1 , 王者江1 , 郝奇1     
1. 吉林大学地球探测科学与技术学院, 长春 130026;
2. 中海油研究总院, 北京 100027
摘要: 对于复杂裂隙介质, 双相各向异性介质模型更能真实地反映实际地层特征.本文基于BISQ机制推导了三维双相各向异性介质的频散方程, 给出了用于确定相速度和逆品质因子的波数方程及其表达式, 研究了固体骨架各向异性、固流耦合效应各向异性、渗透率各向异性对衰减及频散的影响, 并对频散和衰减的方位特性进行了分析, 为预测储层流体的存在、分布以及孔隙结构提供有力的理论依据, 使得多方位储层地球物理参数联合反演具有可行性.
关键词: BISQ机制      双相正交介质      衰减      速度频散      方位特性     
The study on azimuth characteristics of attenuation and dispersion in 3D two-phase orthotropic crack medium based on BISQ mechanism
ZHANG Xian-Wen1,2, WANG De-Li1, WANG Zhe-Jiang1, HAO Qi1     
1. College of Geo-Exploration Science and Technology of Jilin University, Changchun 130026, China;
2. CNOOC Research Institute, Beijing 100027, China
Abstract: Considering the complexity of subsurface medium, two-phase anisotropic model can veritably reflect the actual medium characteristics. Based on BISQ mechanism, this article derives the dispersion equation of 3D two-phase anisotropic medium, and gives the wave-number equation and expression used to derive phase velocity and 1/Q. Then we investigate the effects of the solid skeleton anisotropy, the solid/fluid coupling anisotropy and permeability anisotropy on attenuation and dispersion, and also make analysis of the azimuth characteristics of attenuation and dispersion. All of these studies can provide powerful theoretical criteria for predicting the existence and distribution of fluid in reservoir and the pore structure, and make multi-azimuth joint inversion for reservoir geophysical parameters be feasible..
Key words: BISQ mechanism      Two-phase orthotropic medium      Attenuation      Velocity dispersion      Azimuth characteristics     
1 引言

地下介质中,受应力作用和人为因素的影响,引起地质体结构的变化,从而形成了地层各向异性,而且实际地层是由固体骨架颗粒和孔隙(裂缝或裂隙)及孔隙中充填的流体(或气体)组成的双相介质,因而用双相各向异性模型来模拟实际地层将更接近于实际介质.

双相介质理论充分考虑了介质的物性结构、流体与气体的特殊性质、局部特性与整体效应之间的内在关系,在双相介质弹性波传播理论的研究过程中,Gassmann[1]提出了关于弹性波在多孔介质中的传播理论,并建立了著名的Gassmann方程,Biot[2, 3]根据潮湿土壤的电位特性和声学中声波的吸收特性,发展了Gassmann的流体饱和多孔隙双相介质理论,奠定了双相介质波动理论的基础. White等[4]试验证实了孔隙流体的相对运动是弹性波衰减的主要机理;Plona[5]观测到第二类纵波(慢纵波),证实了Biot理论的正确性.进一步Dvorkin和Nur[6]基于孔隙各向同性一维问题将Biot流动和喷流机制有机的结合起来,提出了统一的Biot-Squirt(BISQ)模型,从而建立了相对完善的双相介质理论.

关于同时考虑孔隙介质中的流体问题和介质的各向异性的研究,Parra[7]基于频率域的弹性波基本方程组,将Dvorkin等基于一维各向同性的BISQ模型推广到了横向各向同性的情况.杨顶辉等[8~10]结合BISQ理论和固流耦合各向异性,发展了同时包含两种机制的一般孔隙弹性波动方程,研究了波在二维PTL+EDA含流体介质中频率、渗透率、质量耦合附加密度、传播方向对相速度和衰减的影响,以及双相各向异性介质中弹性波方程的有限元解法及波场模拟.朱建伟[11]对各向同性、各向异性介质中基于Biot机制和BISQ机制的双相介质理论进行了系统的研究,给出了双相、三相介质中弹性波传播的基本方程,并对包括地震频段内波的速度频散和衰减规律进行了研究;孟庆生[12]研究了基于BISQ机制的HTI介质的二维正演,并分析了地震频段内波的相速度、逆品质因子和吸收系数与频率、孔隙度、水平渗透率、流体黏度以及波的传播方向之间的关系以及分界面上各种波的反射系数和透射系数.王者江[13]进一步对三维双相正交介质正演模拟及其波的传播特性进行了系统的研究.张碧星等[14]对横向各向同性双相介质中多极源声波测井理论进行了研究;魏修成等[15]对含黏滞流体VTI孔隙介质中弹性波的频散和衰减进行了研究.

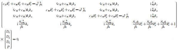
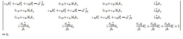
本文在Dvorkin[6]和Yang [9]的基础上,推导了三维双相正交各向异性介质的孔隙弹性波动方程以及平面波解,给出了用于确定相速度和逆品质因子的波数方程及其表达式,同时研究了固体骨架各向异性、固流耦合效应各向异性、渗透率各向异性对衰减及频散的影响,并对频散和衰减的方位特性进行了分析,针对这些影响的规律性研究为预测储层流体的存在、分布、孔隙结构以及多方位储层地球物理参数联合反演提供了理论依据.

2 基本原理 2.1 基于BISQ机制双相正交各向异性介质孔隙弹性波动方程

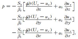
包含BISQ机制的孔隙弹性波动方程可由双相各向异性介质本构关系、总应力动量守恒方程、广义达西定律[7]得出,扩展到一般的各向异性得:

(1)

(2)

(3)

(4)

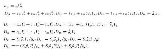
其中,σ为饱和孔隙介质的总应力张量,e为孔隙介质应变张量,p是流体压力,ϕ是孔隙度,u=(uxuyuzTU=(UxUyUzT表示粒子在固体和流体中的位移,ρsρf为固体和流体密度,c为固体骨架的刚度张量,对于正交各向异性介质有:

(5)

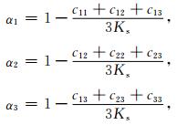
α表示二阶等效应力张量的双相弹性系数,对于正交介质有:

(6)

其中,Ks表示固体的体积模量.

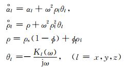
Kω)表示与频率有关的一般的达西张量[7],张量元素表达为

(7)

其中,表示沿主方向l的固有渗透率,ρall方向的附加密度,η为饱和流体的黏滞系数.

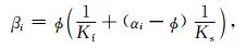
β表示双相介质压缩率系数,其元素推广到一般各向异性情况得:

(8)

其中,Kf为流体的体积模量.

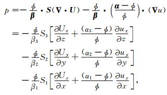
为了推导双相正交各向异性介质的频散方程,引入杨顶辉等[8]定义的喷射流动张量S,其中,Sj表示垂直于第j方向平面内的喷射流动张量元素,体现横向喷射流动对Biot宏观流动的影响,将Parra[7]流体压力p和喷射流动张量S的关系式扩展到一般各向异性情况有:

(9)

其中,表示Biot流动的压力变化率系数.

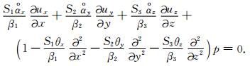
将(4)式改写成

(3)式代入得:

采用Parra[7]的表示方法,令: (10)

(11)

将(1)式两边取散度代入(10)式中,得双相介质中固体部分的频散方程:

(12)

现在我们进一步推导孔隙流体部分的频散方程,方程(3)按照方程(11)的表示法写成:

(13)

将(9)式改写成:

(14)

将(13)式代入到(14)式中,按照方程(11)化简整理得流体部分的频散方程:

(15)

2.2 基于BISQ机制的双相正交各向异性介质平面波解

设质点在固体中的位移和流体中的压力构成的平面波表达式为

(16)

将平面波表达式(16)代入频散方程(12)和(15)式,经过合并整理得三维正交各向异性介质的Christoffel方程:

(17)

因为(17)式有解,因此:

(18)

设平面波传播方向与Z轴夹角为θ,射线在XOY面投影与X轴夹角为ϕ,沿传播方向的波数为k,则:

(19)

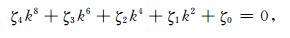
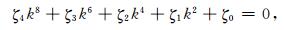
将式(19)代入到(18)中,解得:

(20)

其中,系数ζii=0~4)的具体形式见附录A.

求解方程(20),可以得到四类波的相速度和逆品质因子为:

(21)

3 数值分析

通过前面的推导我们知道,三维双相孔隙介质中弹性波的相速度和衰减与Biot流动张量、喷流张量、渗透率、各向异性固/流耦合密度有关,四类波的相速度及衰减受固体骨架各向异性、固流耦合效应各向异性和渗透率各向异性的影响,下面我们针对这些影响及方位特性分别进行分析,基准模型参数见表 1.

表 1 基准模型参数 Table 1 Benchmark model parameters
3.1 固体骨架各向异性的影响

考虑实际地下介质的复杂性,我们分析双相正交各向异性介质,着重分析固体骨架各向异性对四类波相速度和衰减的方位特性影响,入射波的主频为1000Hz,当入射波以90°入射时(XOY面传播)四类波的相速度(图 1A)和逆品质因子(图 1B)随方位的变化如图 1所示:在正交的裂隙方向,即0°~180°,90°~270°方位上,拟快P波(P1波)具有最大的相速度,而拟SH波(S2波)具有最小的相速度;在正交裂隙的45°方向,即45°~215°,135°~315°方位上,拟快P波具有最小的相速度,拟SH波具有最大的相速度;拟慢P波(P2波)相速度方位各向异性较小.对于衰减,拟慢P波在正交的裂隙方向具有最大衰减,且衰减值较大,而拟快P波在正交裂隙的45°方向具有最大衰减.对于拟SV波(S1波),由于波以90°入射,拟SV波的质点振动在不同方位上始终沿着裂隙方向,因此它的相速度和衰减不随方位变化.

图 1 四类波相速度(A)和逆品质因子(B)随方位变化关系 Fig. 1 The variation of the phase velocity (A) and 1/Q of four types of wave (B) with various azimuth
3.2 固流耦合效应各向异性的影响

为了研究固流耦合效应各向异性对衰减和频散的影响,我们取XYZ方向的附加密度分别为(800,100,100)kg/m3,渗透率为(500,500,500)/ 9.81×10-14 m2,不同频率拟快P波和拟SV波的相速度(图 2A)和逆品质因子(图 2B)随入射角的变化(XOZ面传播)如图 2所示:对于所有频率,在垂直于最大固流耦合密度方向,即0°入射方向拟快P波具有最大衰减,而拟SV波表现为最小衰减;在90°入射的最大固流耦合密度方向,拟快P波表现为最小衰减,而拟SV波表现为最大衰减,其物理解释[9]为:固流耦合密度的增加减小了固相和流相之间的相对位移,使得地层趋于弱双相介质.对于速度频散,在垂直于最大固流耦合密度方向,拟快P波具有最大速度频散,而拟SV波在最大固流耦合密度方向表现为最小速度频散,但固流耦合效应各向异性的影响小于固体骨架各向异性的影响,速度频散曲线主要体现固体骨架各向异性的影响特征.

图 2 不同频率拟快P波和拟SV波的相速度(A)和逆品质因子(B)随入射角的变化 Fig. 2 The variation of the phase velocity (a) and 1/Q of different frequencies (b) with various incident angles
3.3 渗透率各向异性的影响

为了研究渗透率各向异性的影响,取XYZ方向的渗透率分别为(100,100,1000)/9.81×10-14 m2,不同频率拟快P波和拟SV波的相速度(图 3A)和逆品质因子(图 3B)随入射角的变化(XOZ面传播)如图 3所示:对于波传播垂直最小渗透率方向,即0°入射方向,在低频部分,拟快P波具有最大的衰减和速度频散,拟SV波表现为最小衰减和速度频散,而高频部分的衰减及频散刻画和低频部分相反.换句话说:在低频范围,拟快P波在最大渗透率方向(0°入射方向)具有最大的衰减和速度频散,拟SV波在最小渗透率方向(90°入射方向)具有最大的衰减和速度频散;在高频范围拟快P波和拟SV波衰减及速度频散规律与低频范围相反;在中间频率范围内,拟快P波和拟SV波衰减频散行为变得更复杂.这与Yang [9]的结论一致,其物理解释为:对于高渗透率地层,流体的喷流运动在低频范围表现为相对弛豫,而在高频范围表现刚性性质.

图 3 不同频率拟快P波和拟SV波的相速度(A)和逆品质因子(B)随入射角变化 Fig. 3 The variation of the phase velocity (A) and 1/Q of ditferent frequencies (B) with various incident angles

进一步研究渗透率各向异性的方位特性,取XYZ方向的渗透率分别为(2000,500,2000)/9.81 ×10-14 m2,入射波的主频为1000 Hz,当入射角为90°时(XOY面传播)四种波的相速度(图 4A)和逆品质因子(图 4B)随方位的变化如图 4所示:在0°方位,即最大渗透率X方向上,拟快P波具有最大衰减,而拟慢P波和拟SH波表现为最小衰减;在90°方位,即Y方向上,三类波的衰减规律与0°方位正好相反.对于相速度,拟快P波在裂隙方位具有最大相速度,而拟SH波在正交裂隙的45°、135°方位表现为最大的相速度,拟慢P波则在最小渗透率方位(Y方向)具有最大相速度.对于拟SV波,由于90°入射角,所以拟SV波的质点振动在不同方位上始终沿着裂隙方向,衰减和相速度不随方位变化.从数值上看,拟慢P波对渗透率各向异性最为敏感,表现为较大的相速度和衰减的方位各向异性,而其他三类波的相速度各向异性受渗透率各向异性的影响小于固体骨架各向异性的影响,相速度方位变化曲线主要体现固体骨架各向异性的影响特征.

图 4 四类波的相速度(A)和逆品质因子(B)随方位变化关系 Fig. 4 The variation of the phase velocity (A) and 1/Q of four types of wave (B) with various azimuth
4 结论

本文基于BISQ机制推导了三维双相各向异性介质的频散方程,给出了四类波的求解方程以及相速度和逆品质因子的表达式,并细致地分析了固体骨架各向异性、固流耦合效应各向异性、渗透率各向异性对相速度和衰减各向异性的影响,研究结果表明:在双相各向异性介质中传播的地震波衰减和频散各向异性受固体骨架各向异性、固流耦合效应各向异性、渗透率各向异性共同影响.在正交裂隙方位上,拟快P波具有最大相速度,而在正交裂隙的45°,135°方位具有最大的衰减;对于固流耦合效应各向异性的影响:在垂直于最大固流耦合密度方向,拟快P波具有最大衰减和速度频散,而拟SV波最大衰减和速度频散出现在最大固流耦合密度方向;相对而言,渗透率各向异性的影响较为复杂:在低频范围,拟快P波在最大渗透率方向具有最大的衰减和速度频散,拟SV波在最小渗透率方向具有最大的衰减和速度频散,在高频范围拟快P波和拟SV波衰减及速度频散规律与低频范围相反.另外,对于相速度各向异性的影响,固流耦合效应各向异性、渗透率各向异性的影响小于固体骨架各向异性的影响,相速度方位各向异性曲线主要体现固体骨架各向异性的影响特征.

由于双相各向异性模型模拟实际地层更接近于实际介质,通过对三维双相各向异性介质中波的衰减和频散特性的研究及规律性的认识,为我们预测储层流体的存在、分布以及孔隙结构提供了有力的理论依据,进而可以针对井间地震记录或逆VSP记录,利用多方位的衰减或频散信息进行孔隙度和渗透率反演,为储层特征的刻画提供新的技术手段.

附录A

将式(19)代入到(18)中,可以解得:

(A1)

其中:

(A2)

式中:

(A3)

参考文献
[1] Gassmann F. Elastic waves through a packing of spheres. Geophysics , 1951, 16(4): 673-685. DOI:10.1190/1.1437718
[2] Biot M A. Theory of propagation of elastic waves in a fluid-saturated porous solid, Part I:low frequency range. J. Acoust. Soc. Am. , 1956, 28(1): 168-178.
[3] Biot M A. Theory of propagation of elastic waves in a fluid-saturated porous solid, Part Ⅱ:high frequency range. J. Acoust. Soc. Am. , 1956, 28(2): 179-191. DOI:10.1121/1.1908241
[4] White J E. Computed seismic speeds and attenuation in rocks with partial gas saturation. Geophysics , 1975, 40(2): 224-232. DOI:10.1190/1.1440520
[5] Plona T J. Observation of a second bulk compressional wave in a porous medium at ultrasonic frequencies. Appl. Phys. Lett , 1980, 36(4): 259-261. DOI:10.1063/1.91445
[6] Dvorkin J, Nur A. Dynamic poroelasticity:A unified model model with the squirt and the Biot mechanisms. Geophyscis , 1993, 58(4): 524-533. DOI:10.1190/1.1443435
[7] Parra J O. The transversely isotropic poroelastic wave equation including the Biot and the squirt mechanisms, Theory and application. Geophysics , 1997, 62(1): 309-318. DOI:10.1190/1.1444132
[8] 杨顶辉, 牟永光. 孔隙各向异性介质中基于微观流场的BISQ理论. 中国地球物理学会年刊 , 1998: 58–59. Yang D H, Mou Y G. BISQ theory based on micro-fluid flow in porous anisotropic medium. Annual of the Chinese Geophysical Society (in Chinese) , 1998: 58-59.
[9] Yang D H, Zhang Z J. Poroelastic wave equation including the Biot/squirt mechanism and the solid/fluid coupling anisotropy. Wave Motion , 2002, 35(3): 223-245. DOI:10.1016/S0165-2125(01)00106-8
[10] 杨顶辉. 双相各向异性介质中弹性波方程的有限元解法及波场模拟. 地球物理学报 , 2002, 45(4): 575–583. Yang D H. Finite element method of the elastic wave equation and wavefield simulation in two-phase anisotropic media. Chinese J. Geophys. (in Chinese) , 2002, 45(4): 575-583.
[11] 朱建伟.含流体孔隙介质基于BISQ机制的弹性波波动方程及传播特性[博士学位论文].吉林:长春科技大学, 2000 Zhu J W. The study on elastic wave equation and propagation characteristic based on BISQ mechanism in porous fluid medium[Ph. D. thesis]. (in Chinese). Jilin:Changchun University of Science and Technology, 2000
[12] 孟庆生.基于BISQ机制双相裂隙介质弹性波场正演及其方位属性研究[博士学位论文].吉林:吉林大学, 2003 Meng Q S. The study on elastic wavefield modeling and azimuth attributes analysis based on BISQ mechanism in two-phase cracked medium[Ph. D. thesis]. (in Chinese). Jilin:Jilin University, 2003
[13] 王者江.基于BISQ机制的三维双相正交介质正演模拟及传播特性研究[博士学位论文].吉林:吉林大学, 2008 Wang Z J. A Study of Numerical Simulation and Propagation Characteristics for 3D Two Phase Orthotropic Medium Based on the BISQ Mechanism[Ph. D. thesis] (in Chinese). Jilin:Jilin University, 2008
[14] 张碧星, 王克协. 各向异性双相介质中多极源声波测井理论研究. 地球物理学报 , 2000, 43(5): 707–718. Zhang B X, Wang K X. Theoretical study of multipole acoustic logging in anisotropic two-phase medium formation. Chinese J.Geophys. (in Chinese) , 2000, 43(5): 707-718.
[15] 魏修成, 卢明辉, 巴晶, 等. 含黏滞流体各向异性孔隙介质中弹性波的频散和衰减. 地球物理学报 , 2008, 51(1): 213–220. Wei X C, Lu M H, Ba J, et al. Dispersion and attenuation of elastic waves in a viscous fluid-saturated anisotropic porous solid. Chinese J.Geophys. (in Chinese) , 2008, 51(1): 213-220.